• Предмет: Алгебра
  • Автор: Anakoni
  • Вопрос задан 8 лет назад

Помогите пожалуйста .

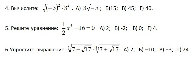
Приложения:

Ответы

Ответ дал: sobakazabiyaka
0

1)sqrt{(-5)^2*3^4} =sqrt{5^2*3^4} =5*3^2=5*9=45 \\\2)frac{1}{2} x^5+16=0\\frac{1}{2} x^5=-16\x^5=-16:frac{1}{2} \x^5=-32\ x=-2\\\3)sqrt[5]{7-sqrt{17}} *sqrt[5]{7+sqrt{17}} =sqrt[5]{(7-sqrt{17})*(7+sqrt{17}})} =sqrt[5]{49-17} =sqrt[5]{32} =2

Вас заинтересует