Ответы
Ответ дал:
0
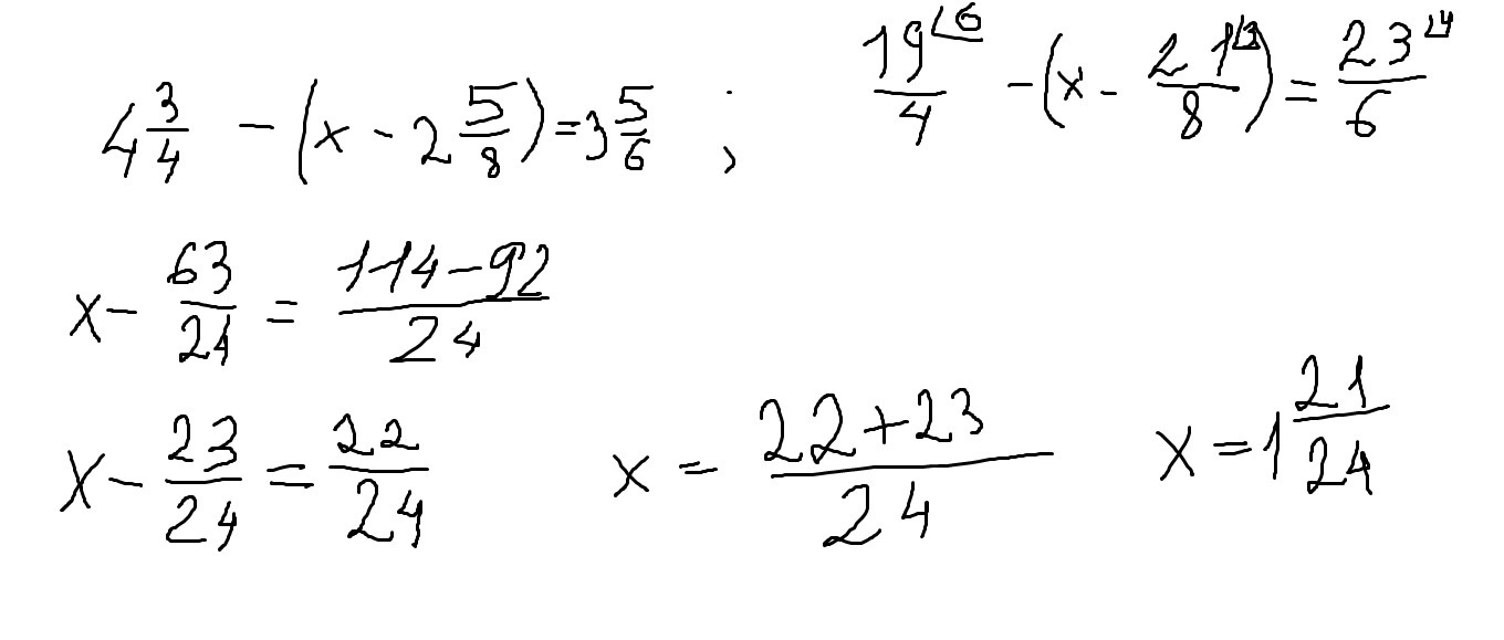
1 21/24=1,875- это чему равен х
Приложения:

Вас заинтересует
2 года назад
2 года назад
3 года назад
3 года назад
9 лет назад
9 лет назад