• Предмет: Алгебра
  • Автор: bratvatv9746
  • Вопрос задан 8 лет назад

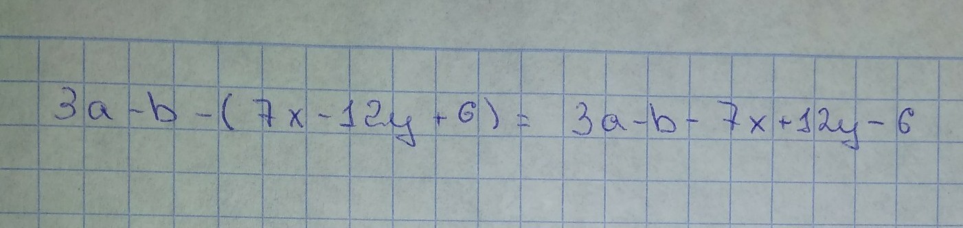
раскрыть скобки 3a-b-(7x-12y+6)

Ответы

Ответ дал: tigr004
0
Воооооот) Надеюсь помогала
Приложения:
Ответ дал: wwwpro100mihail
0

Честно, сейчас не буду уверен в своём ответе, но мне кажется, что ответ : 3a-b-7x+12-6, так как, если минус стоит перед скобками стоит минус, то все знаки в скобке меняются на противоположные. Работает это только с минусом и плюсом.

Извини, если это неправельный ответ(((

Приложения:
Ответ дал: wwwpro100mihail
0
Забыл в примере после 12, поставить y
Вас заинтересует