• Предмет: Математика
  • Автор: Гламурнаяя
  • Вопрос задан 8 лет назад

Найти производную функции y=sqrt(x)/(1+sqrt(x))

Ответы

Ответ дал: uppset
0

Данная функция представляет собой дробь. Согласно правилам дифференцирования, в данном случае Вам необходимо найти производную по следующему правилу: если u/v - ваша дробь (u = sqrt(x), v = (1 + sqrt(x)) ), то (u/v)' = (u'v - v'u) / v^2. Так как (sqrt(x))' = 1/2*sqrt(x), а (1+sqrt(x))^2 = 1 + 2*sqrt(x) + x, то в итоге получим следующий результат:

y' = 1 / (2 * sqrt(x) * (sqrt(x) + 1)^2). Удачи!

Ответ дал: mostvit
0

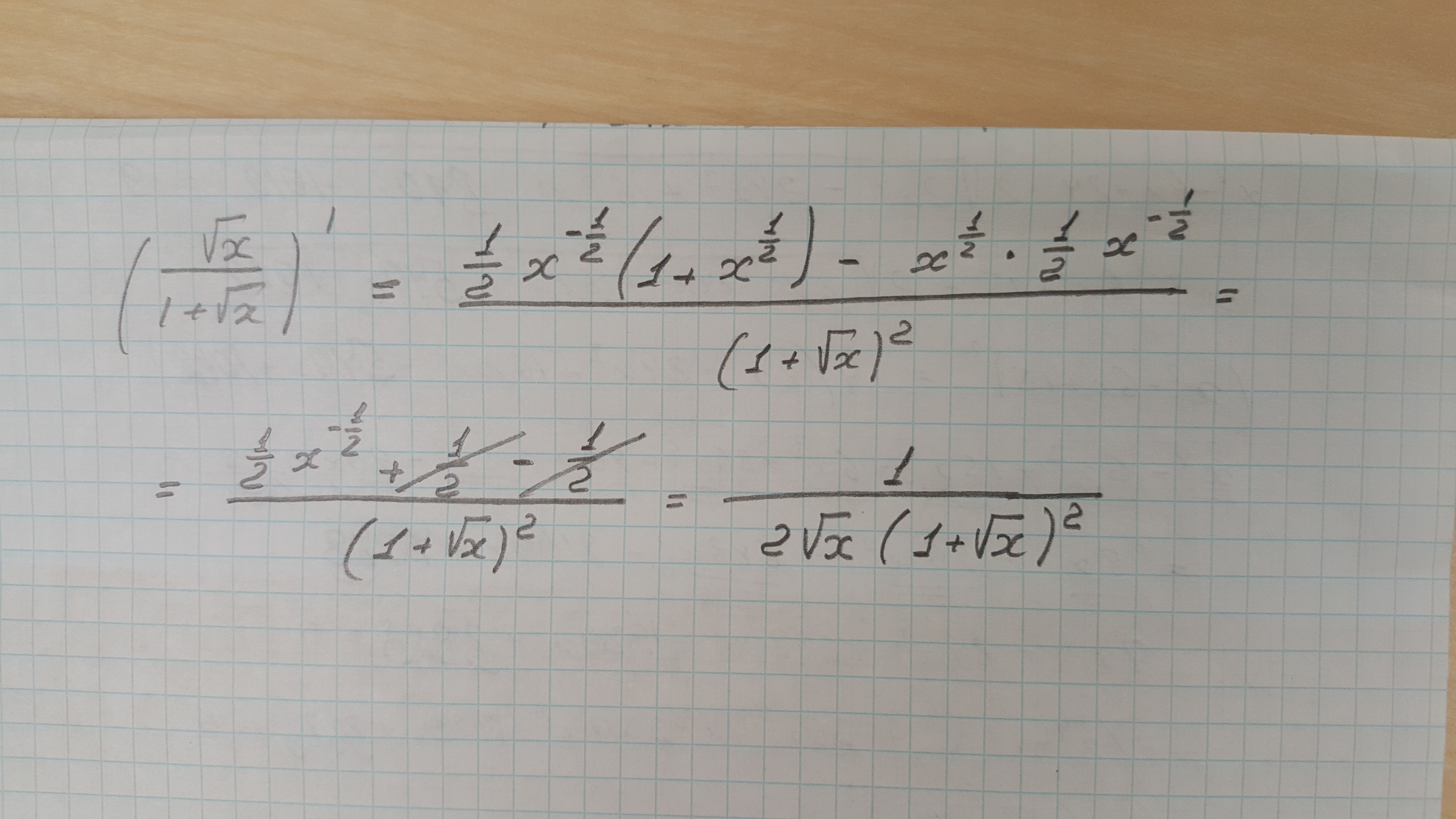
Решение в приложении

_________________

Приложения:
Вас заинтересует