• Предмет: Алгебра
  • Автор: olgaivanova04
  • Вопрос задан 8 лет назад

Помогите пожалуйста с алгеброй.Задания легкие,но я не понимаю тему.20-23.

Приложения:

Ответы

Ответ дал: Mari666a
0

Ну смотри .

Что такое корень ?

Говоря кратко корень имеет функцию противоположную второй степени...То есть возьмем число √4 .Если его "вытащить" оно будет 2.

⇒√4=2

Это действует и в обратную строну

если нам надо ввести в корень то мы наоборот делаем его больше

⇒ 6=√36

Ну ладно из меня ужасный учитель и ты знаешь эту тему(наверняка).Перейдем к решению.

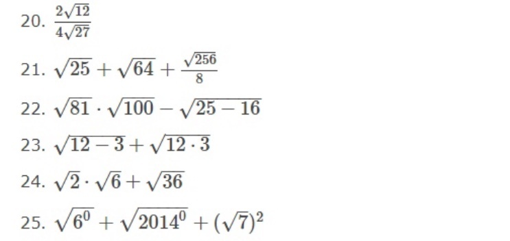
20.

2√12/4√27 =

= 2√3*4/4√3*9=

=2*2√3/4*3√3=

=4√3/6√3⇒

⇒4/6


21.√25 + √64 + √256/8⇒ 5 + 8 +16/8= 5 + 8 + 2= 15

22. √81 *√100 - sqrt{25-16} =9 * 10 - √9= 90 - 3 = 83

23.sqrt{12-3}  + sqrt{12*3} =sqrt{9}  + sqrt{36} = 3 + 6 = 9

Ответ дал: Mari666a
0
С дробью все понятно?
Ответ дал: Mari666a
0
в корне можно умножать .То есть если тебе нужно ее как-нибудь сделать поудобнее (для решений) ,то (возьмем ,например, число которое вытащить нельзя...) √24 => √4 * 6 => 2√6 . Получается ,что мы вытащили ,что могли .
Ответ дал: Mari666a
0
Ах да и если ты хочешь умножить на корень(√3) число без корня(3(к примеру, просто взяла)) тебя ни чего не выйдет . т.к. Просто получится 3√3 , нет умножение будет но числа не изменятся.
Ответ дал: Mari666a
0
Пожалуйста поставь спасибо и сделай лучшим ответом )
Вас заинтересует