• Предмет: Алгебра
  • Автор: dostoevsky1
  • Вопрос задан 8 лет назад

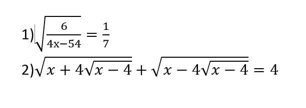
10 класс, иррациональные уравнения, под номером 2 решите пожалуйста.

Приложения:

Ответы

Ответ дал: NeZeRAvix
0

ОДЗ: x≥4

sf \ sqrt{x+4sqrt{x-4}}+sqrt{x-4sqrt{x-4}}=4 \ sqrt{x-4+4sqrt{x-4}+4}+sqrt{x-4-4sqrt{x-4}+4}=4 \ sqrt{(sqrt{x-4}+2)^2}+sqrt{(sqrt{x-4}-2)^2}=4 \ |sqrt{x-4}+2|+|sqrt{x-4}-2|=4 \ sqrt{x-4}+2+|sqrt{x-4}-2|=4

Найдем нуль подмодульного выражения:

sqrt{x-4}-2=0 \ x-4=4 \ x=8

Решаем на интервалах:

1)  x<8 \ \ sqrt{x-4}+2-sqrt{x-4}+2=4 \ 4=4 \ \ x in [4; 8) \ \ 2)  xgeq 8 \\ sqrt{x-4}+2+sqrt{x-4}-2=4 \ sqrt{x-4}=2 \ x=8


Ответ: x∈[4; 8]

Вас заинтересует