Ответы
Ответ дал:
0
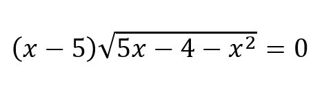
одз: 5х-4-х²≥0
х²-5х+4≤0
а=1
b=-5
с=4
а+b+с=1-5+4=0
значит х1=1
х2=с/а=4/1=4
(х-1)(х-4)≤0
хє[1;4]
х-5=0 или √(5х-4-х²)=0
х1=5 х2=1 х3=4
корень х1=5 не входит в одз, значит наибольшим будет х=4
х²-5х+4≤0
а=1
b=-5
с=4
а+b+с=1-5+4=0
значит х1=1
х2=с/а=4/1=4
(х-1)(х-4)≤0
хє[1;4]
х-5=0 или √(5х-4-х²)=0
х1=5 х2=1 х3=4
корень х1=5 не входит в одз, значит наибольшим будет х=4
Вас заинтересует
2 года назад
2 года назад
3 года назад
9 лет назад