• Предмет: Алгебра
  • Автор: abavea
  • Вопрос задан 8 лет назад

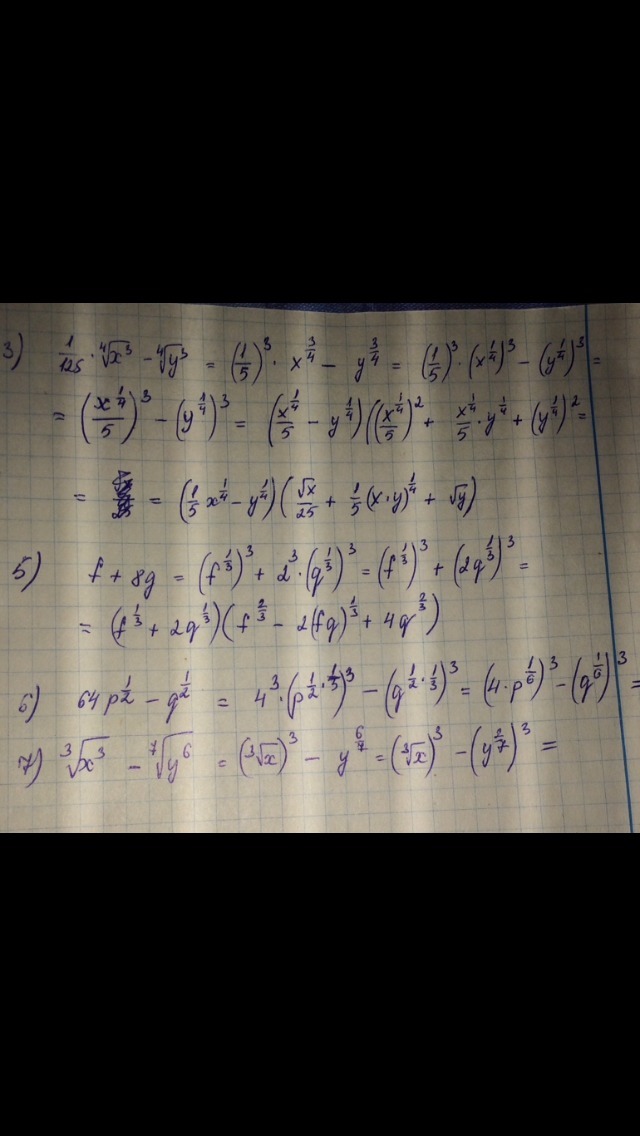
Решите второе задание срочно

Приложения:

Ответы

Ответ дал: tatnik12
0

все задания решать долго, смысл тут сводится к тому, что надо каждое слагаемое представить в степень с показателем равным 3. Задание 1 и 2, думаю сложности не представляет, на фото задание 3 и 5 решены полностью, к 6 и 7 даю подсказку. Остальные по этой схеме будьте любезны самостоятельно.

Приложения:
Вас заинтересует