Ответы
Ответ дал:
0
......................................
Приложения:




Ответ дал:
0
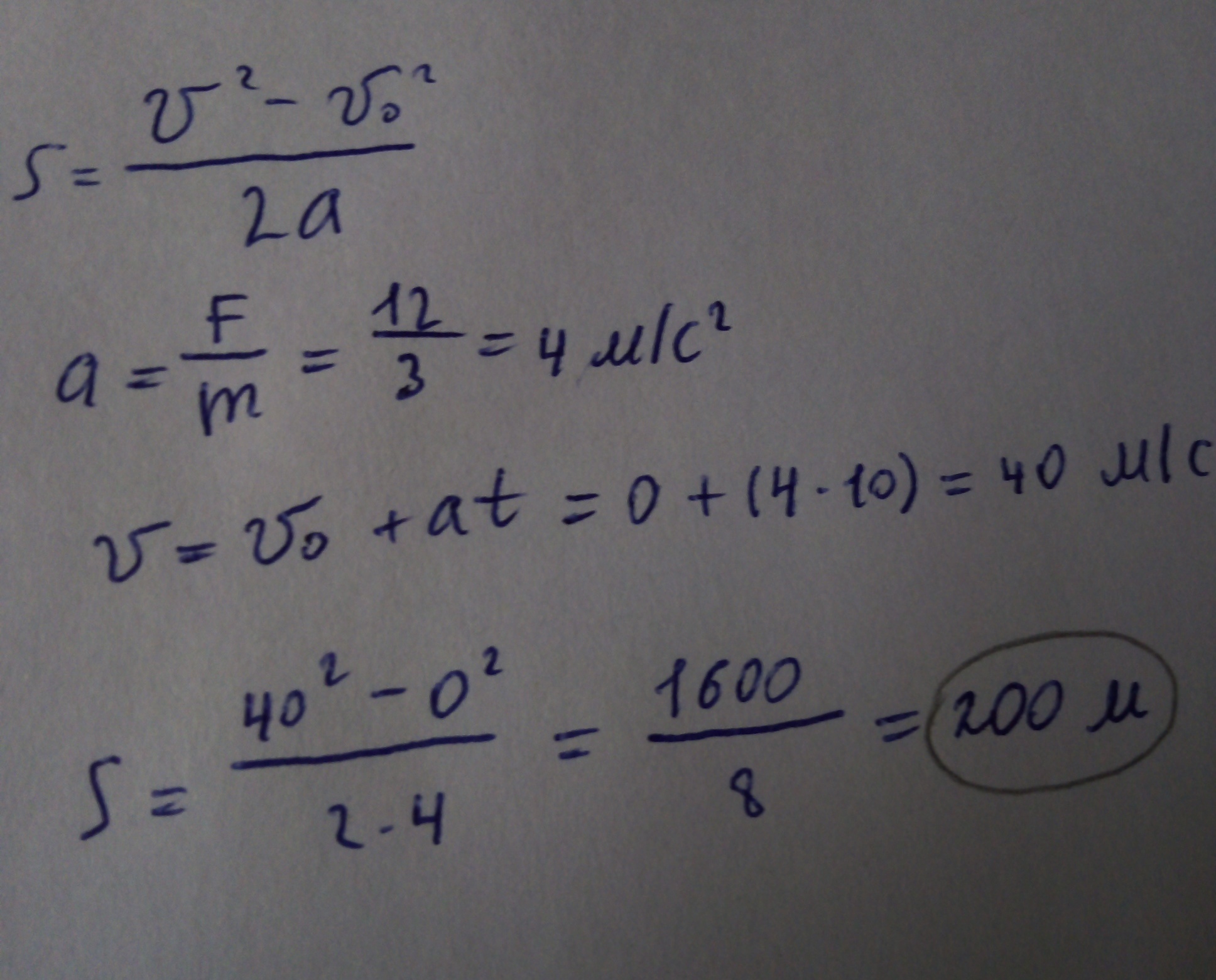
Можно еще так: F*t=p2-p1; Ft=mV-mVo; Ft=mV - второй закон Ньютона. 12*10=3*V; V=40 м/с. a=F/m=4 м/с^2; S=40^2/8=200 м.
Ответ дал:
0
№7) Fтр=(мю)*N; мю=F/N=10/40=0,25 - коэфф. трения.
Ответ дал:
0
Да, можно и так.
Вас заинтересует
2 года назад
2 года назад
3 года назад
9 лет назад
9 лет назад
9 лет назад