• Предмет: Алгебра
  • Автор: 921063
  • Вопрос задан 8 лет назад

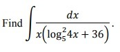
Помогите решить интеграл (см. рисунок):

Приложения:

Ответы

Ответ дал: LordTutus
0

Выполним замену переменной:

y = log_{5}4x

Тогда:

dy = frac{dx}{x*ln5}

ТОгда интеграл равен== int {frac{ln5 * dy}{y^2+6^2}} , dx = frac{ln5}{6}arctg(frac{y}{6})+C

Подставляем сюда выражение для y:

=frac{ln5}{6}arctg(frac{log_5 4x}{6})+ C

Вас заинтересует