Помогите пожалуйста!Весь день решаю уже, сил не хватает, много всего задали
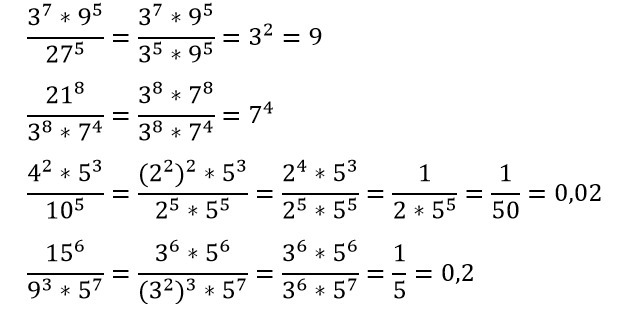
1)3^7*9^5 дробь 27^5
2)21^8 дробь 3^8*7^4
3)4^2*5^3 дробь 10^5
4)15^6 дробь 9^3*5^7
Ответы
Ответ дал:
0
3^7*9^5 / (3*9)^5 = 3^2
21^8 / 3^8*7^4 = (3*7)^8 / 3^8*7^4 = 7^4
2^4*5^3 / (2*5)^5 = 1/ 2*5^2= 1/50=0,02
(3*5)^6 / 3^6*5^7 = 1/5=0,2
21^8 / 3^8*7^4 = (3*7)^8 / 3^8*7^4 = 7^4
2^4*5^3 / (2*5)^5 = 1/ 2*5^2= 1/50=0,02
(3*5)^6 / 3^6*5^7 = 1/5=0,2
Ответ дал:
0
Ответ во вложении..............
Приложения:

Ответ дал:
0
спасибо огромное ?
Вас заинтересует
2 года назад
3 года назад
3 года назад
9 лет назад
9 лет назад