• Предмет: Алгебра
  • Автор: atsivsin0
  • Вопрос задан 8 лет назад

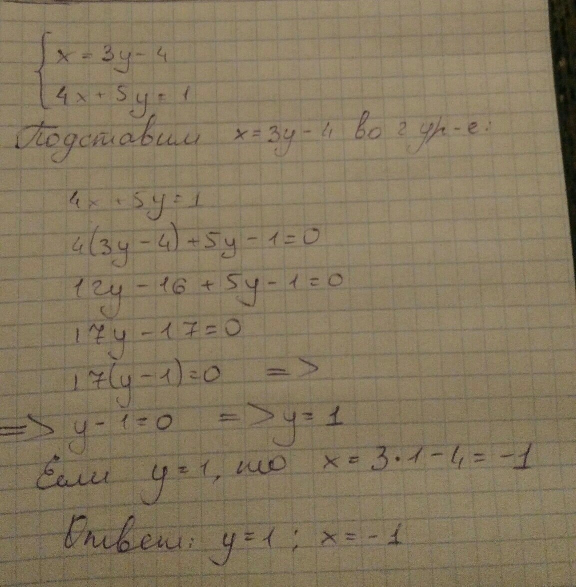
Решить систему уравнентй способом подстановки
X=3y-4
4x+5y=1

Ответы

Ответ дал: vhrjfjsbsH
0
у=1, х=-1. Надеюсь правильно)))
Приложения:
Вас заинтересует