• Предмет: Алгебра
  • Автор: olgaivanova04
  • Вопрос задан 8 лет назад

Помогите пожалуйста.Задания легкие.
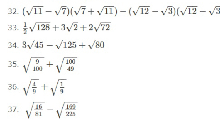
32-35.

Приложения:

Ответы

Ответ дал: mubo04
0

32.(√11-√7)(√7+√11)-(√12-√3)(√12-√3)=(√11-√7)(√11+√7)-(√12-√3)(√12-√3)=(√11²-√7²)-(√12²-√36-√36+√3²)=(11-5)-(12-√36-√36+3)=6-12+√36+√36-3=-21+12=-9

Вас заинтересует