Ответы
Ответ дал:
0
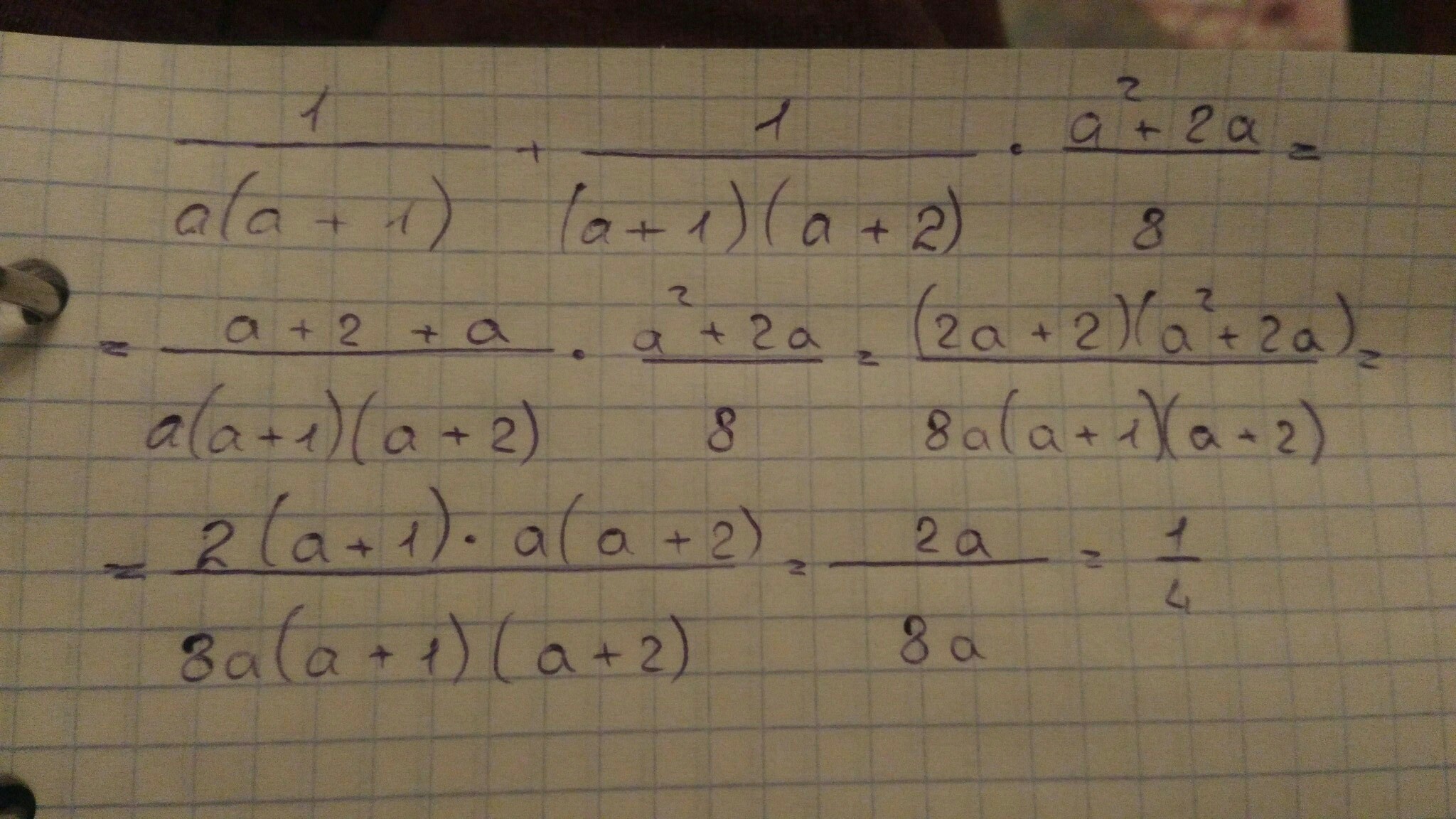
1) 1; 2)1/4. Думаю правильно))) А вот в третьем ерунда какая-то ... не знаю
Приложения:



Ответ дал:
0
Прости но можешь 3 ещё сделать ты его пропустил
Ответ дал:
0
ок, сейчас все будет
Вас заинтересует
2 года назад
3 года назад
9 лет назад
9 лет назад