Ответы
Ответ дал:
0
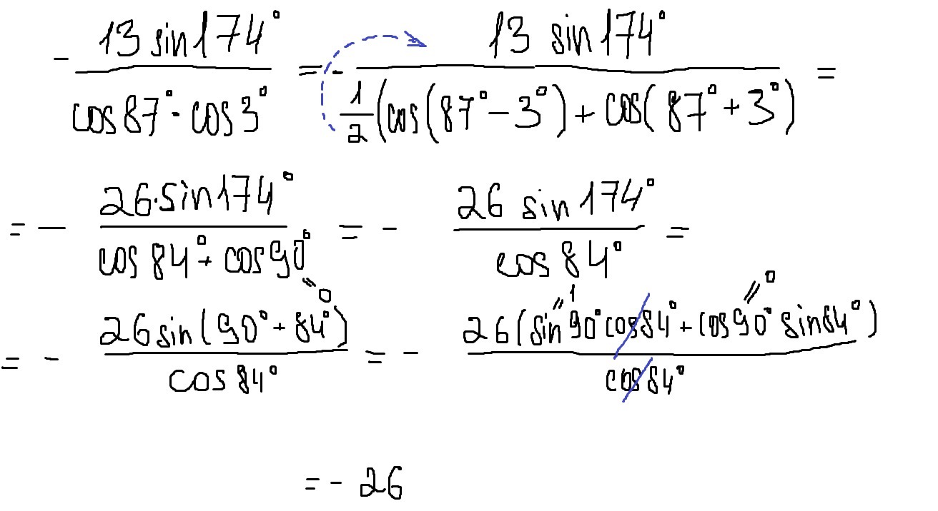
Ответ
-26
________________________
Приложения:

Ответ дал:
0
Почему в знаменателях плюсы, а не знаки умножения ?
Ответ дал:
0
Прошу прощения? Где?
Ответ дал:
0
Приложения:

Вас заинтересует
2 года назад
2 года назад
3 года назад
9 лет назад
9 лет назад