Ответы
Ответ дал:
0
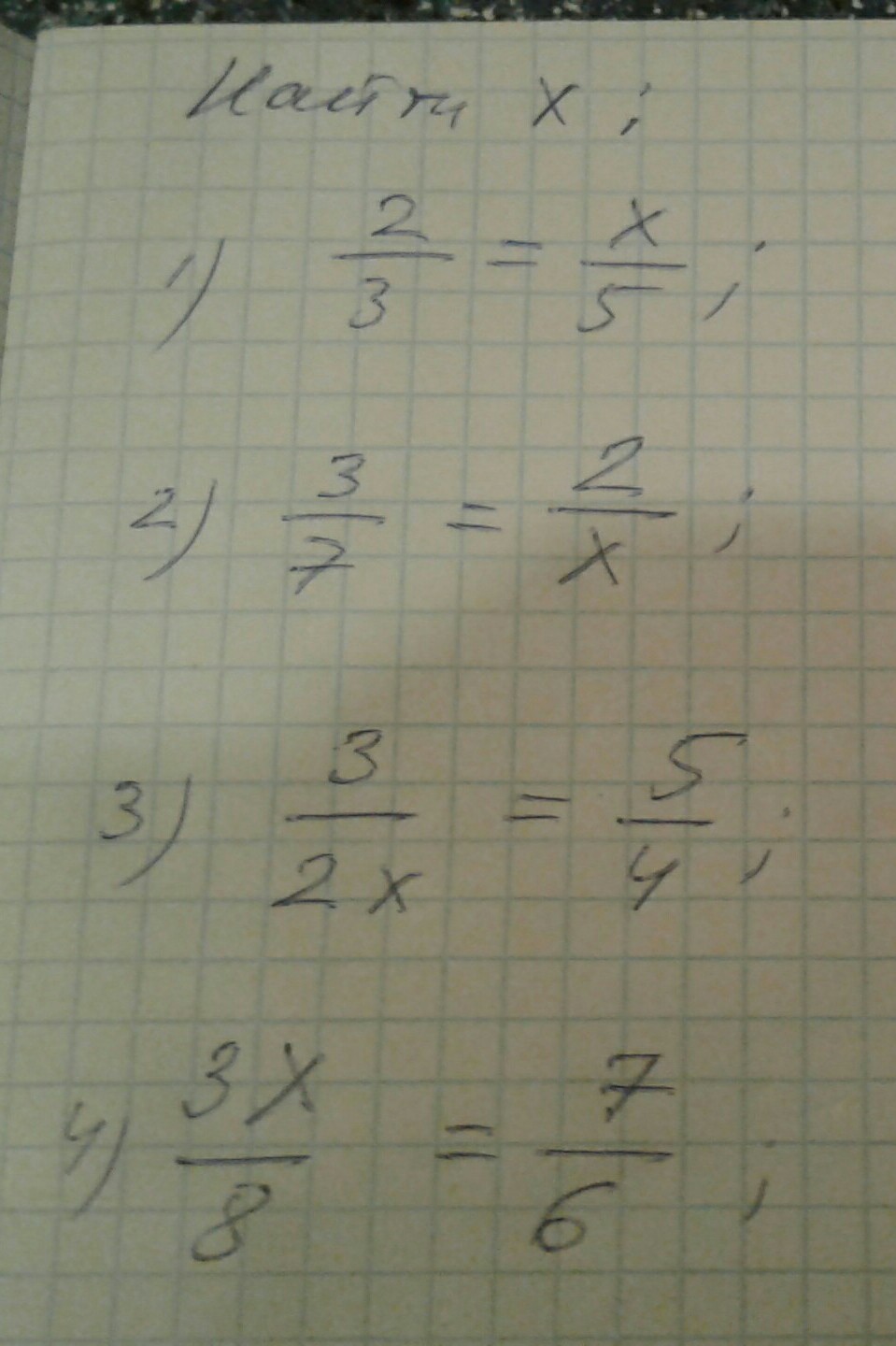
1. 2/3 = х/5
3 × х = 2 × 5
3х = 10
х = 10/3
х = 3 ⅓.
Ответ : х = 3 ⅓.
2. 3/7 = 2/х
3 × х = 7 × 2
3х = 14
х = 14/3
х = 4 ⅔.
Ответ : х = 4 ⅔.
3. 3/2х = 5/4
5 × 2х = 4 × 3
10х = 12
х = 12 ÷ 10
х = 1,2.
Ответ : х = 1,2.
4. 3х/8 = 7/6
3х × 6 = 7 × 8
18х = 56
х = 56/18
х = 3 2/18 = 3 1/9.
Ответ : х = 3 1/9.
Удачи))))
3 × х = 2 × 5
3х = 10
х = 10/3
х = 3 ⅓.
Ответ : х = 3 ⅓.
2. 3/7 = 2/х
3 × х = 7 × 2
3х = 14
х = 14/3
х = 4 ⅔.
Ответ : х = 4 ⅔.
3. 3/2х = 5/4
5 × 2х = 4 × 3
10х = 12
х = 12 ÷ 10
х = 1,2.
Ответ : х = 1,2.
4. 3х/8 = 7/6
3х × 6 = 7 × 8
18х = 56
х = 56/18
х = 3 2/18 = 3 1/9.
Ответ : х = 3 1/9.
Удачи))))
Ответ дал:
0
Откуда в первом взялось 7? Все задачи решены неверно
Ответ дал:
0
Верно)
Вас заинтересует
2 года назад
3 года назад
9 лет назад
9 лет назад
10 лет назад