Ответы
Ответ дал:
0
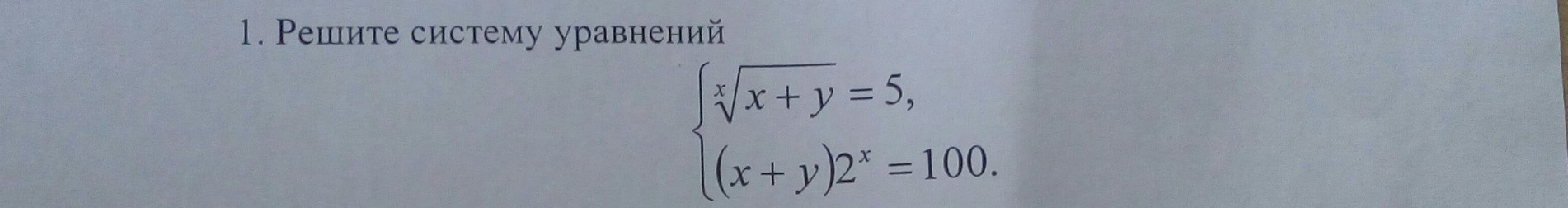
Извлечём из второго уравнения корень степени "х":
Учитывая первое уравнение получим:
При одинаковых основаниях, выражения будут равны, если равны их степени.
Подставим полученное значение х во второе уравнение.
Подставив полученный ответ в исходные уравнения обнаружим, что всё выполняется.
Таким образом, ответ: (2; 23).
Ответ дал:
0
Большое спасибо!
Ответ дал:
0
Решение на фотографии.
Приложения:

Ответ дал:
0
Спасибо!
Ответ дал:
0
Пожалуйста!
Вас заинтересует
3 года назад
9 лет назад
9 лет назад