• Предмет: Математика
  • Автор: nelusi
  • Вопрос задан 8 лет назад

Пожалуйста помогите

Приложения:

Ответы

Ответ дал: fenixboom
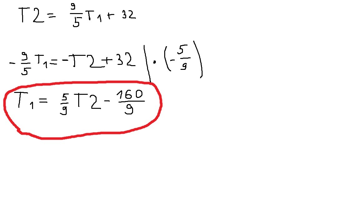
0

Всё расписано на картинке

Приложения:
Ответ дал: nelusi
0
Здесь правильный ответ какой?
Ответ дал: fenixboom
0
Извиняюсь неправильно прочитал задание, нужно просто подставить значения в формулу ответы будут: a)77Фаренгейт б) 104,9 фаренгейт в) 80,96 фаренгейт
Ответ дал: nelusi
0
Спасибо
Ответ дал: nelusi
0
спасибо
Вас заинтересует