Ответы
Ответ дал:
0
!!!!!!!!!!!!!!!!!!!!!!...!
Приложения:

Ответ дал:
0
я не знаю, что у Вас означает решить функцию.;)
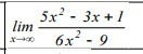
тут, насколько я понимаю, надо найти предел
( см фото)
( для этого в дроби мы делим
делимое и делитель на х²)
тут, насколько я понимаю, надо найти предел
( см фото)
( для этого в дроби мы делим
делимое и делитель на х²)
Приложения:

Вас заинтересует
2 года назад
2 года назад
3 года назад
9 лет назад
9 лет назад
9 лет назад