Ответы
Ответ дал:
0
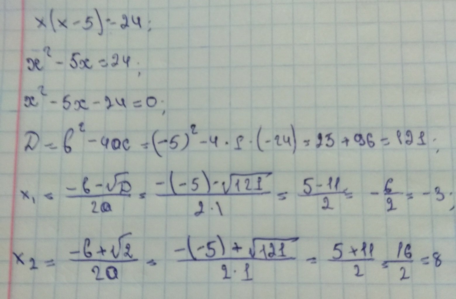
Ответ: -3; 8.
Ответ дал:
0
Вот пожалуйста //////
Приложения:

Вас заинтересует
2 года назад
3 года назад
9 лет назад