• Предмет: Математика
  • Автор: 64654730
  • Вопрос задан 8 лет назад

х(х+7)=78 помогите решить плз

Ответы

Ответ дал: MariaSen
0

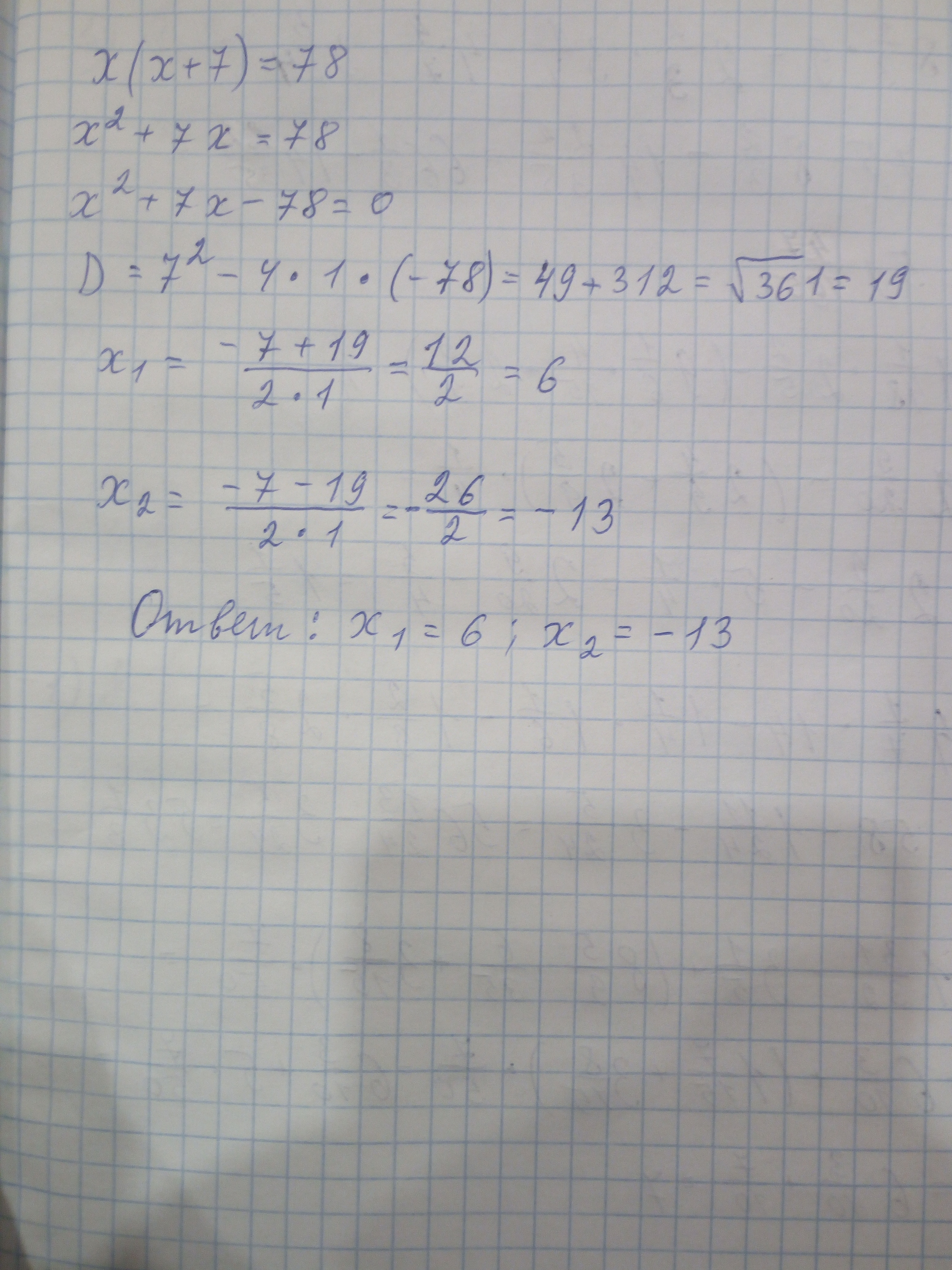
Х(х+7)=78

Х^2+7х=78

Х^2+7х-78=0

Х1=-7+19/2

Х2=-7-19/2

Х1=6

Х2=-13

Ответ дал: 64654730
0
спс бро
Ответ дал: MariaSen
0
:))
Ответ дал: тто
0

))))))))))))))))))))))))))))))))))))))))

Приложения:
Вас заинтересует