Помогите решить!
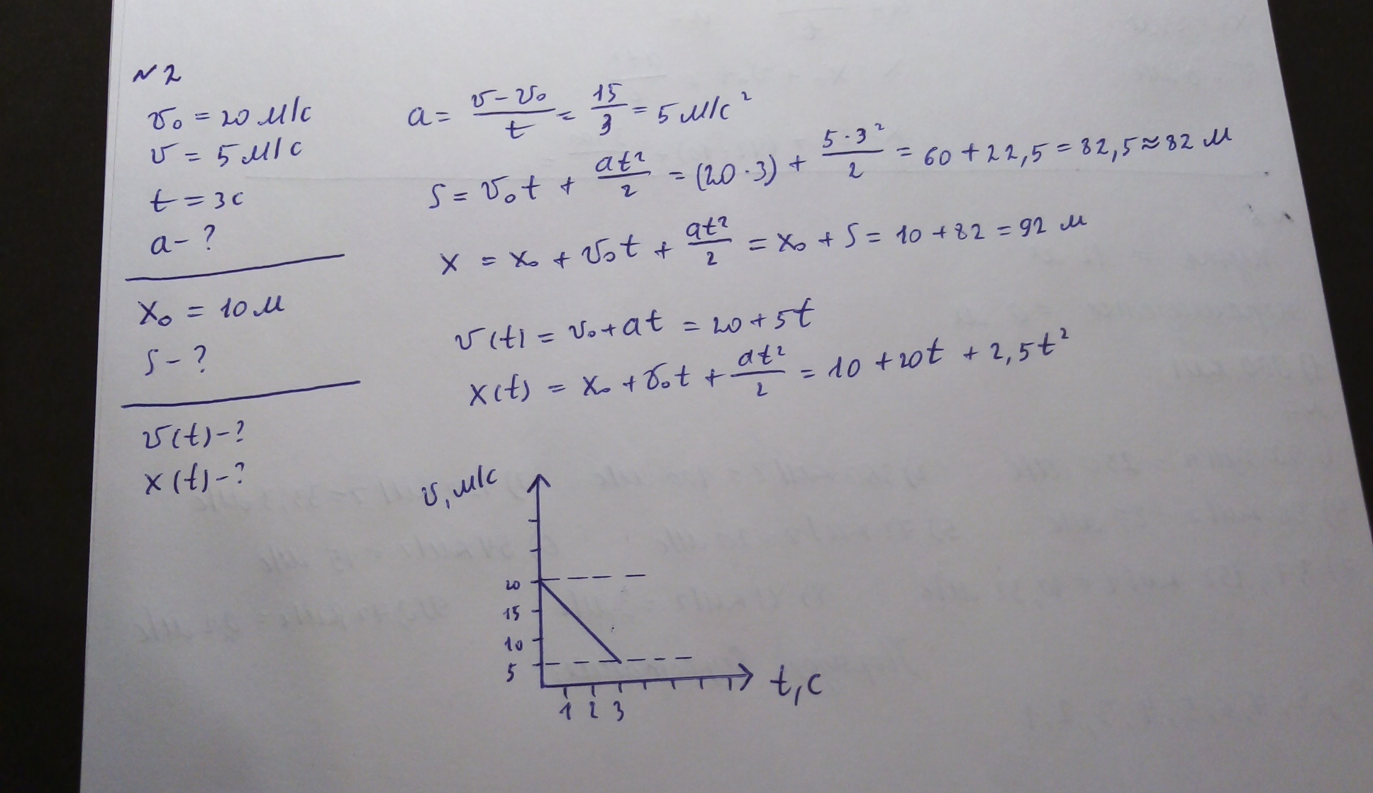
№2.Автомобиль изменил скорость от 20 до 5м/с за 3с. Найди ускорение тела. Определи перемещение и координату за указанное время, если Х0 =10м. Напиши уравнения: v=v(t) и х=х(t). Построй график скорости.
№3.Тело движется по окружности радиусом 4м и совершает за 2мин 12 полных оборотов. Найди период, частоту, скорость, угловую скорость и центростремительное ускорение.
№4.Автомобиль, двигаясь ускоренно, с ускорением 3м/с2 за 10с совершил перемещение 300м. Определи начальную скорость тела и его место положения за указанное время, если Х0=25м.
№5.Конькобежец пробежал по стадиону полкруга радиусом 100 метров. Найдите его перемещение и пройденный путь. Сделайте рисунок.
№6.Мальчик подбросил мяч вверх и снова поймал его. Считая, что мяч поднялся на высоту 6 м, найдите путь и перемещение мяча.
№7 .Перевести скорости из км/ч в м/с и расставить скорости в порядке возрастания(записать номера в порядке возрастания)
№ п/п Скорость в м/с Скорость в км/ч
1 Самолет пассажирский 900 км/ч
2 Сокол-сапсан, поезд 360 км/ч
1. 3 2. Ласточки 120 км/ч
3. 4 4. Охотничья собака 90 км/ч
5 Заяц 72 км/ч
6 Волк 54 км/ч
7 Ямайский спринтер Усейн Болт, ставший олимпийским чемпионом в Пекине и поставивший мировой рекорд в беге на 100 метров 37, 152 км/ч
8 Самая быстрая сухопутная змея – черная мамба 11 км/ч
9 Скорость течения крови в венах 0,72 км/ч
Ответы
Ответ дал:
0
Нет 4 и 5. Надеюсь правильно, хотя не очень то и уверенна.....
Приложения:



Ответ дал:
0
добрый день можете пожалуйста решить эти задачи https://znanija.com/task/30259487 https://znanija.com/task/30259376 https://znanija.com/task/30259262 https://znanija.com/task/30259180
Вас заинтересует
2 года назад
3 года назад
9 лет назад
9 лет назад