• Предмет: Математика
  • Автор: ksusha080325
  • Вопрос задан 8 лет назад

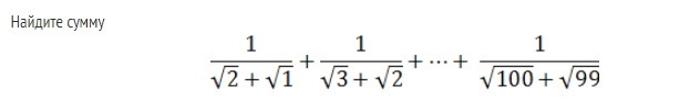
Найдите сумму
Математика

Приложения:

Ответы

Ответ дал: krolikzajcev
0

Домножить числитель и знаменатель каждой броби на сумму корней, стоящих в знаменателе. В знаменателях будут стоять единицы. Привести подобные в числителе, останется 10 минус 1 равно 9.


Ответ 9.

Вас заинтересует