ДАЮ 30 БАЛОВ! Помогите пожалуйста! 8 класс.
И можете еще прикрепить фото с решением, и мо всеми рисунками!
Приложения:

Ответы
Ответ дал:
0
1)2x+3x=180а
5x=180а
x=180а:5x.
х=36а
2х=36*2=72°
3х=3*36=108°
проверка :108+72=180
задание номер 2 во вложении
задание номер 3 во вложении
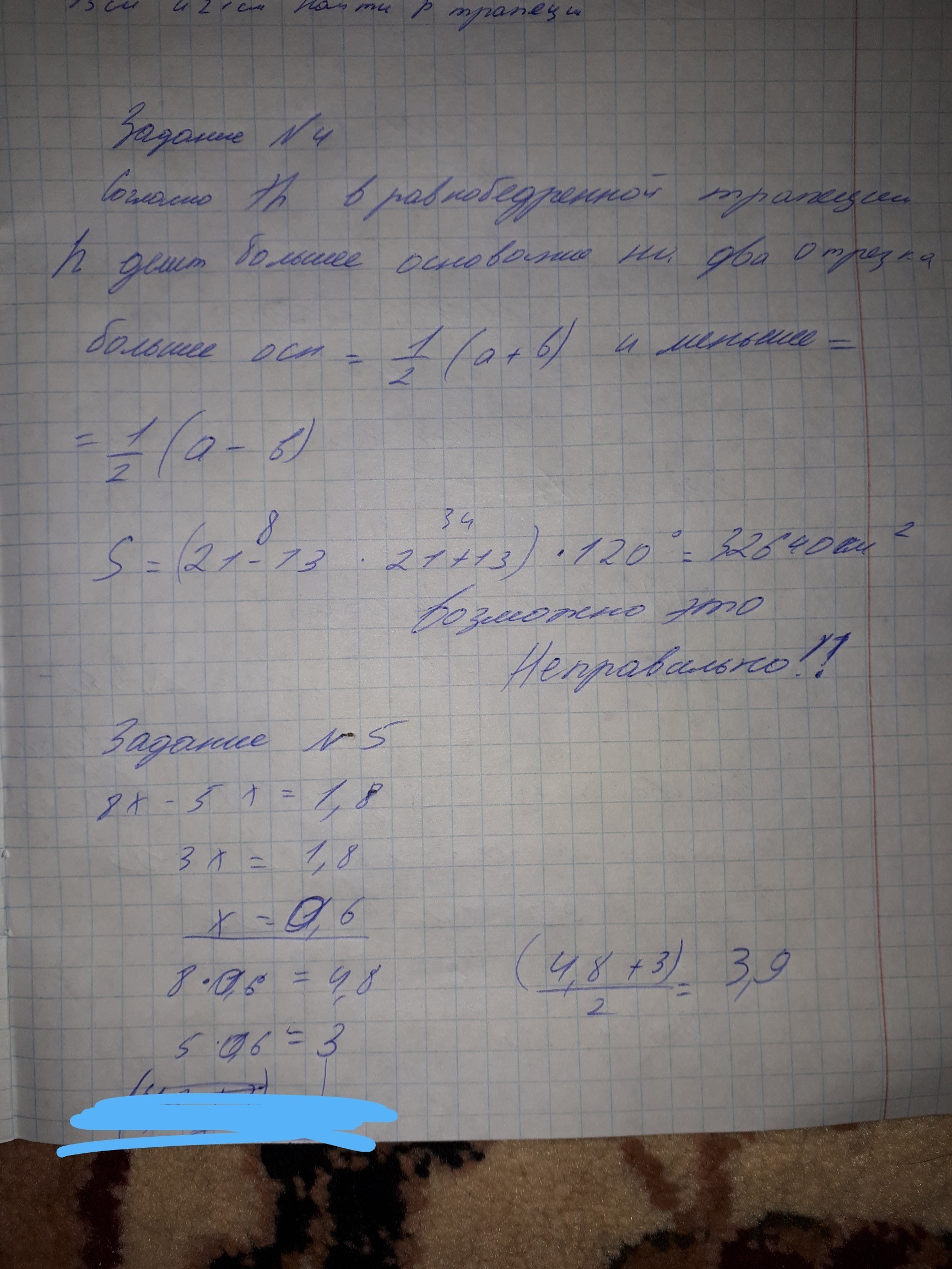
задание номер 4 во вложении
задание номер 5 во вложении
простите, возможно задание номер 4 неправильно, просто сомнительно большой ответ. за отсутствие рисунков тоже простите.((((((((
5x=180а
x=180а:5x.
х=36а
2х=36*2=72°
3х=3*36=108°
проверка :108+72=180
задание номер 2 во вложении
задание номер 3 во вложении
задание номер 4 во вложении
задание номер 5 во вложении
простите, возможно задание номер 4 неправильно, просто сомнительно большой ответ. за отсутствие рисунков тоже простите.((((((((
Приложения:



Ответ дал:
0
если дальше пролистать , там будет
Ответ дал:
0
там видны только две фотографии, пролистайте в право и увидите
Ответ дал:
0
там будет 3-я фотография
Ответ дал:
0
да, спасибо
Ответ дал:
0
ок
Вас заинтересует
2 года назад
2 года назад
3 года назад
3 года назад
9 лет назад
9 лет назад