Пожалуйста прошу решите номер 202 кто решит получит честный и лучший ответ и спасибо!!!!!
Приложения:

Ответы
Ответ дал:
0
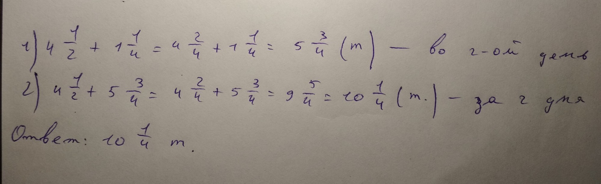
ответ и решение написал на листике
Приложения:

Ответ дал:
0
4 1/2=4.5, 1 1/4=1.25,
4.5+1.25=5.25
или
4 1/2+1 1/4=(1+4)+(1/4+1/2)=5 3/4
4.5+1.25=5.25
или
4 1/2+1 1/4=(1+4)+(1/4+1/2)=5 3/4
Приложения:

Вас заинтересует
2 года назад
2 года назад
3 года назад
3 года назад
9 лет назад
9 лет назад
9 лет назад