• Предмет: Математика
  • Автор: uhuhu8107
  • Вопрос задан 8 лет назад

Найдите неизвестное число.

Приложения:

Ответы

Ответ дал: Elenamikki
0

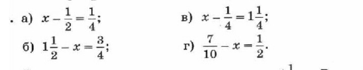
а) х-1/2=1/4

х=1/4+1/2=1/4+2/4=3/4

б) 1 1/2 -х = 3/4

-х= 3/4 - 3/2 | :(-1)

х=-3/4+6/4= 3/4

в) х- 1/4= 1 1/4

х= 5/4+1/4=6/4=3/2= 1 1/2

г) 7/10 -х= 1/2

-х= 1/2- 7/10 |:(-1)

х= -5/10+7/10=2/10= 1/5

Ответ дал: lizamalinkina
0

а) x-1/2=1/4

x=1/4+2/4

x=3/4

б) 1 1/2- x=3/4

x=6/4-3/4

x=3/4

в) x-1/4=1 1/4

x=1/4+5/4

x=6/4

г) 7/10-x=1/2

x=7/10-5/10

x=2/10

Вас заинтересует