• Предмет: Математика
  • Автор: gaponov1998
  • Вопрос задан 8 лет назад

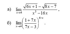
Первый курс, математика. Решение пределов.

Приложения:

Ответы

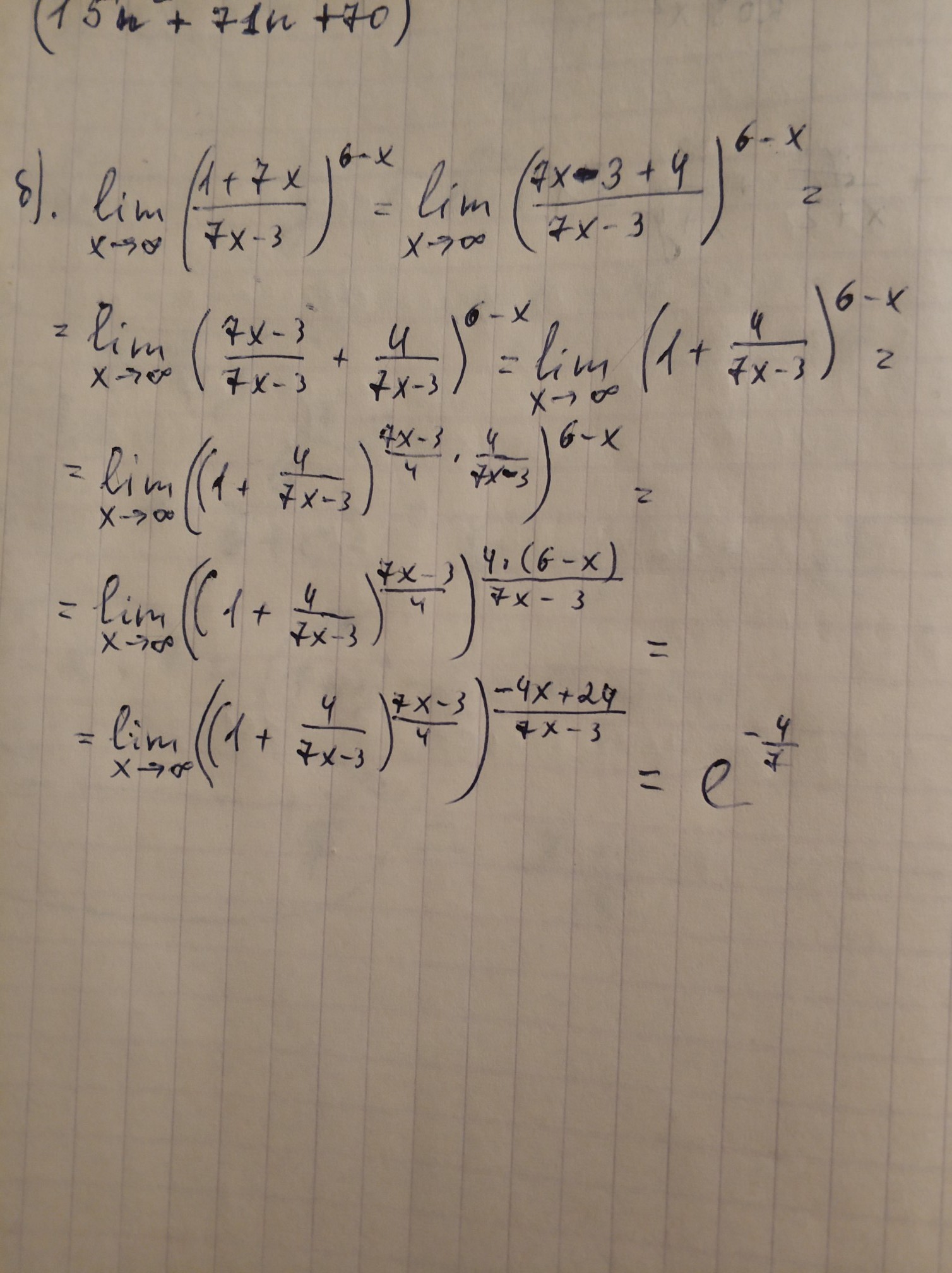
Ответ дал: kirichekov
0
решение во вложении......
Приложения:
Вас заинтересует