Срочно!!!!Даю 20 балов!!Срочно!!!
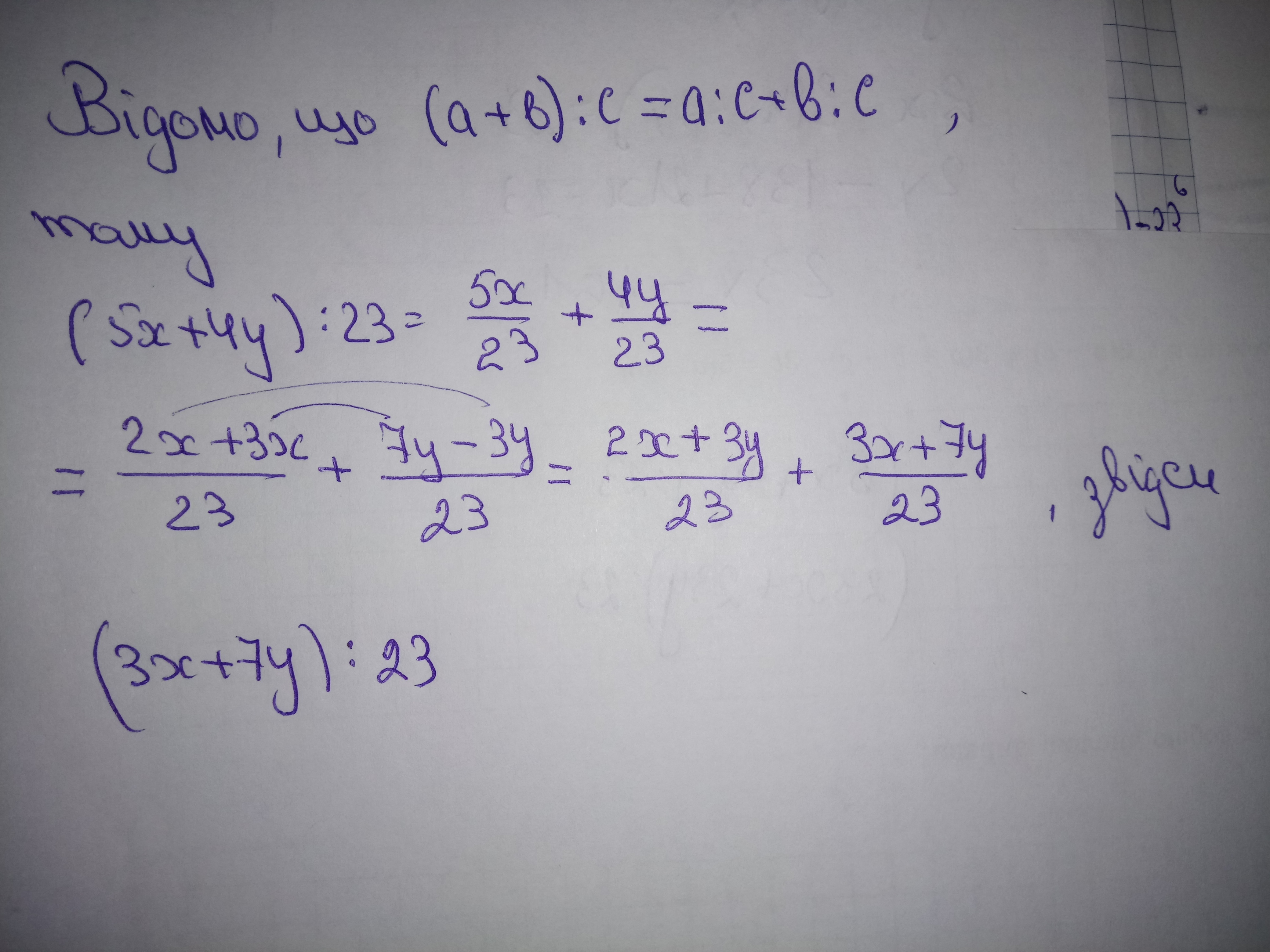
Відомо, що 5x+4y ділиться на 23 доведіть, що 3x+7y теж ділиться на 23
Ответы
Ответ дал:
0
23*Х+23*У делится на 23
5Х+4У делится на 23, значит (5Х+4У)*4=20Х+16У тоже делится
Значит и (23*Х+23*У)-(20Х+16У)=3Х+7У тоже делится
Ответ дал:
0
Розв'язання завдання додаю
Приложения:

Вас заинтересует
2 года назад
3 года назад
3 года назад
9 лет назад
9 лет назад
9 лет назад