• Предмет: Математика
  • Автор: Vlad20181001
  • Вопрос задан 8 лет назад

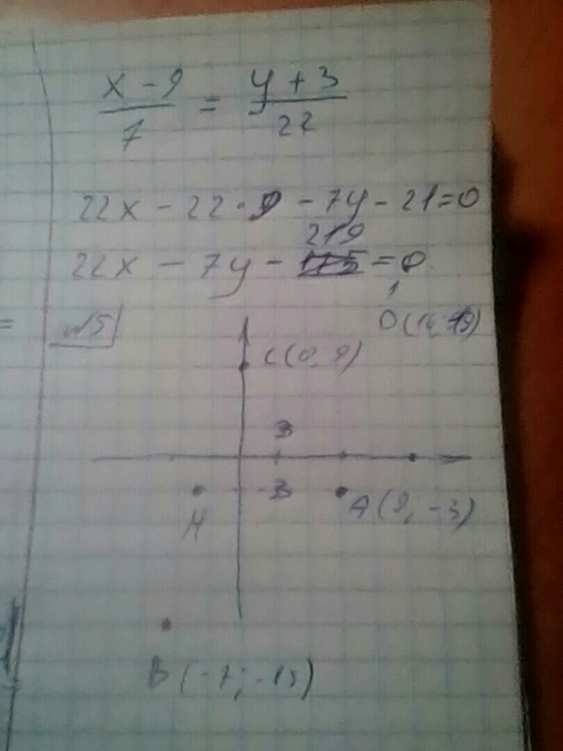
Даны вершины треугольника ABC. Найти:
1) длину стороны ВС;
2) уравнение высоты из вершины А и её длину;
3) уравнение медианы из вершины А;
4) записать уравнение прямой, проходящей через вершину А параллельно стороне ВС;
5) построить чертеж.
7. А(9; –3) В(–7; –15) С(0;9).

Ответы

Ответ дал: pervushev420
0

,,,,,,,,,,,,,,,,,,,,

Приложения:
Вас заинтересует