• Предмет: Алгебра
  • Автор: krossauti
  • Вопрос задан 8 лет назад

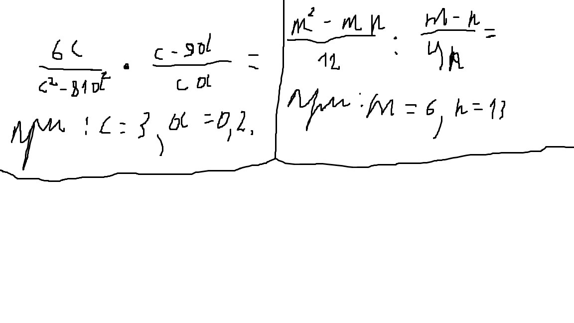
решите пожалуйста!!!!!!

Приложения:

Ответы

Ответ дал: mullerkirovmr
0
Лучше напиши на листочке и сфоткай. Или напиши тут в строчку.
Я решу в комментах
Вас заинтересует