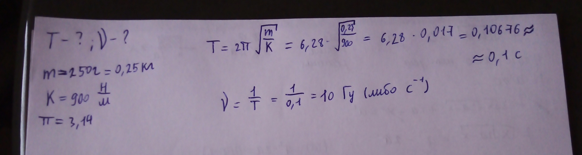
Який період і частота коливань пружинного маятника,маса якого 250г і жорсткість пружини 900 н/м?
Ответы
Ответ дал:
0
........................
Приложения:

Вас заинтересует
2 года назад
2 года назад
3 года назад
3 года назад
9 лет назад
9 лет назад
9 лет назад