• Предмет: Алгебра
  • Автор: Aeolus23
  • Вопрос задан 8 лет назад

Помогите Пожалуйста!!

Приложения:

Ответы

Ответ дал: 1233090
0
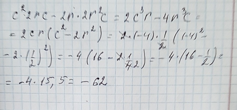
решение задания смотри на фотографии
Приложения:
Вас заинтересует