Ответы
Ответ дал:
0
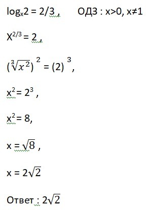
logx2 = 2/3 , ОДЗ : x>0, x≠1
X2/3 = 2 ,
(∛(x^2 )) ^2 = (2) ^3,
x2 = 23 ,
x2 = 8,
x = √8 ,
x = 2√2
Ответ : 2√2
Приложения:

Вас заинтересует
2 года назад
2 года назад
3 года назад
3 года назад
9 лет назад
9 лет назад