Ответы
Ответ дал:
0
1.b1=128 b2=64 b3=32 b4=16 b5=8
S=128+64+32+16+8=284
Ответ=284
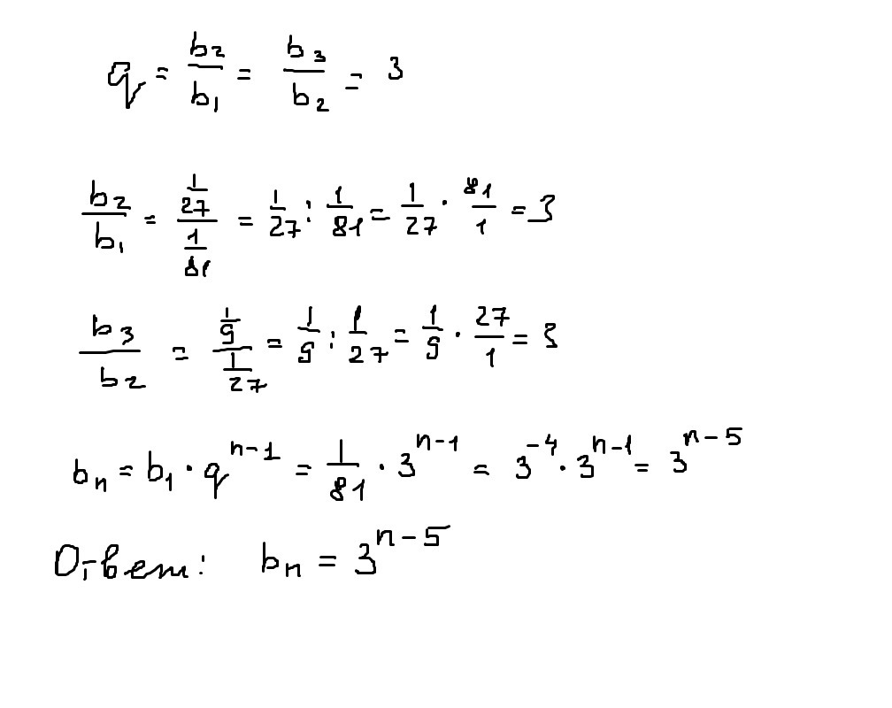
2.
Приложения:

Вас заинтересует
2 года назад
3 года назад
3 года назад
9 лет назад
9 лет назад
9 лет назад