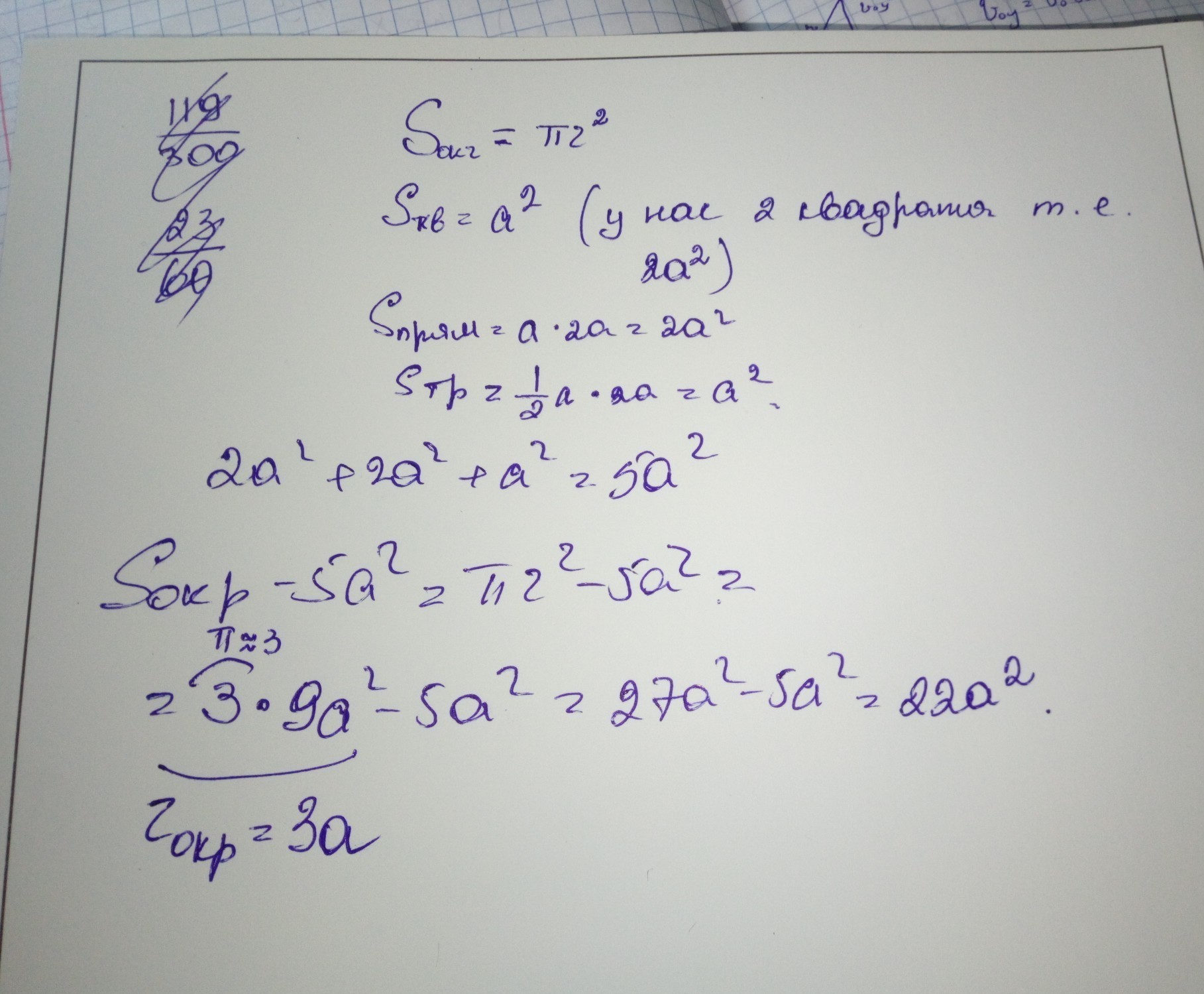
Вычислите площадь заштрихованной фигуры если длина стороны клетки равна а. Распишите с формулами, пожалуйста)
Приложения:

Ответы
Ответ дал:
0
я там расписала всё, если что-то не понятно напиши))
Приложения:

Ответ дал:
0
Спасибо большое!
Ответ дал:
0
пожалуйста;)
Вас заинтересует
2 года назад
2 года назад
3 года назад
3 года назад
9 лет назад
9 лет назад
9 лет назад
9 лет назад