• Предмет: Алгебра
  • Автор: ИллиданЯростьБури1
  • Вопрос задан 8 лет назад

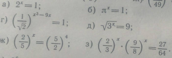
Показательные уравнение и неравенства.
Решите уравнения.

Приложения:

Ответы

Ответ дал: Universalka
0

1)2^{x}=1\2^{x}= 2^{o}\x=0\\2)pi^ {x}=1\pi ^{x}= pi ^{o}\ x=0

3)(frac{1}{sqrt{2}}) ^{x^{3}-9x} =1\\(frac{1}{sqrt{2}}) ^{x^{3} -9x}=( frac{1}{sqrt{2}}) ^{o}\x^{3}-9x=0\x(x^{2} -9)=0\x(x-3)(x+3)=0\x_{1} =0;x_{2}=-3; x_{3}=3

4)sqrt{3^{x}}=9\\ 3^{x}=81\\ 3^{x}= 3^{4}\ x=4

5)(frac{2}{5}) ^{x}=( frac{5}{2}) ^{4}\\(frac{2}{5}) ^{x}=( frac{2}{5}) ^{-4}\\x=-4

6)(frac{2}{3}) ^{x}*( frac{9}{8}) ^{x}= frac{27}{64}\\(frac{2}{3}* frac{9}{8}) ^{x}= frac{27}{64}\\(frac{3}{4}) ^{x}=( frac{3}{4}) ^{3}\ x=3

Вас заинтересует