• Предмет: Алгебра
  • Автор: ИллиданЯростьБури1
  • Вопрос задан 8 лет назад

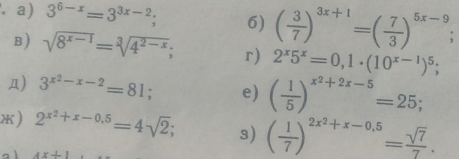
Решите показательные уравнения.

Приложения:

Ответы

Ответ дал: maksimcat
0

Ответ на фото////////////////////////////

Приложения:
Вас заинтересует