• Предмет: Алгебра
  • Автор: hfhhfjkoffhsghhgh
  • Вопрос задан 8 лет назад

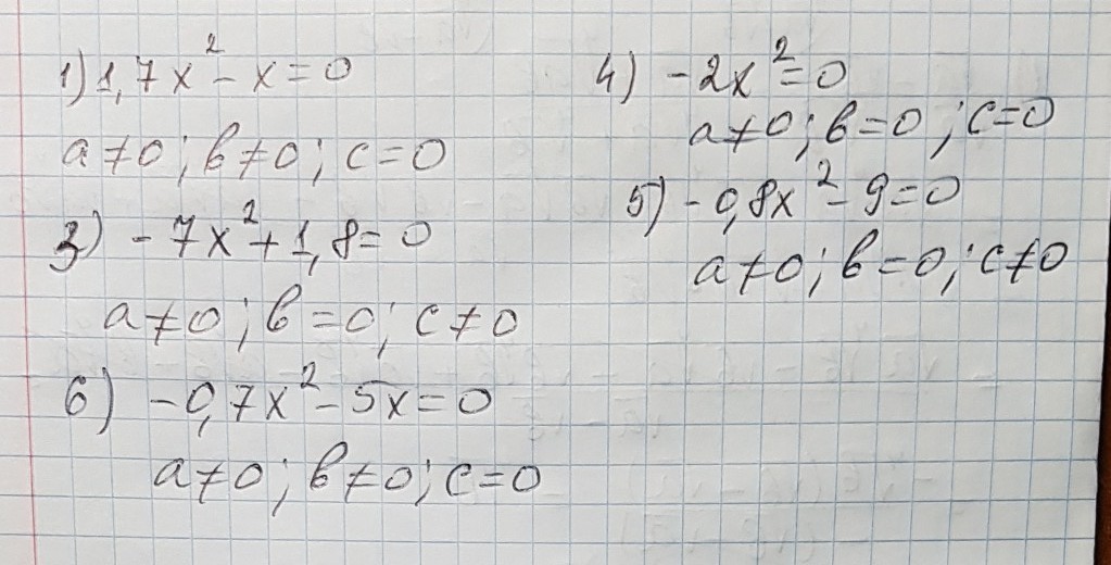
Укажите неполное квадратное уравнение и его вид

Приложения:

Ответы

Ответ дал: ITSG2014
0

ответы, кроме второго:

Приложения:
Вас заинтересует