Ответы
Ответ дал:
0
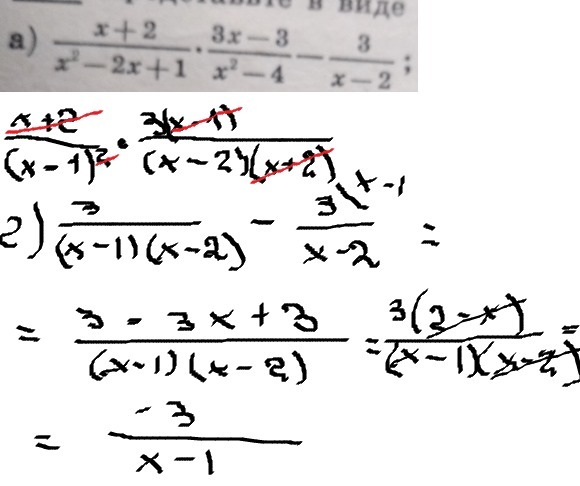
во вложении.......................
Приложения:


Вас заинтересует
2 года назад
3 года назад
9 лет назад