• Предмет: Математика
  • Автор: lenusiktiap7fvah
  • Вопрос задан 8 лет назад

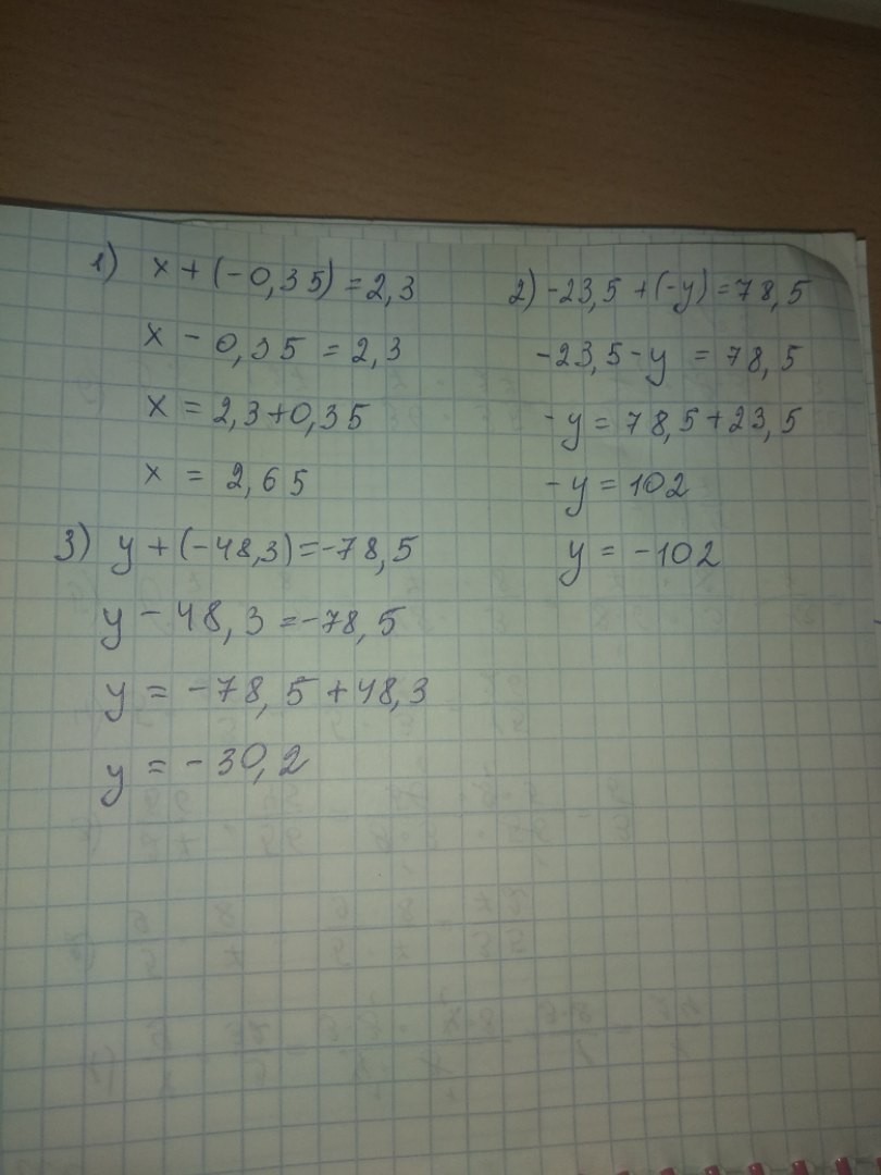
Решите уравнение:1) x+(-035)=2,3
2) -23,5+(-y)=78,5
3) y+(-48,3)=-78,5

Ответы

Ответ дал: alexandrizmodenov199
0

Все решенные примеры приведены на фото

Приложения:
Вас заинтересует