• Предмет: Математика
  • Автор: kseniiah
  • Вопрос задан 8 лет назад

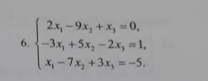
срочно,пожалуйста))решить систему методом Гаусса

Приложения:

Ответы

Ответ дал: serum
0

1 пункт - прямой ход метода Гаусса (метод элементарных преобразований)

2 пункт - обратный ход метода Гаусса

Приложения:
Вас заинтересует