• Предмет: Математика
  • Автор: NanaSsem
  • Вопрос задан 8 лет назад

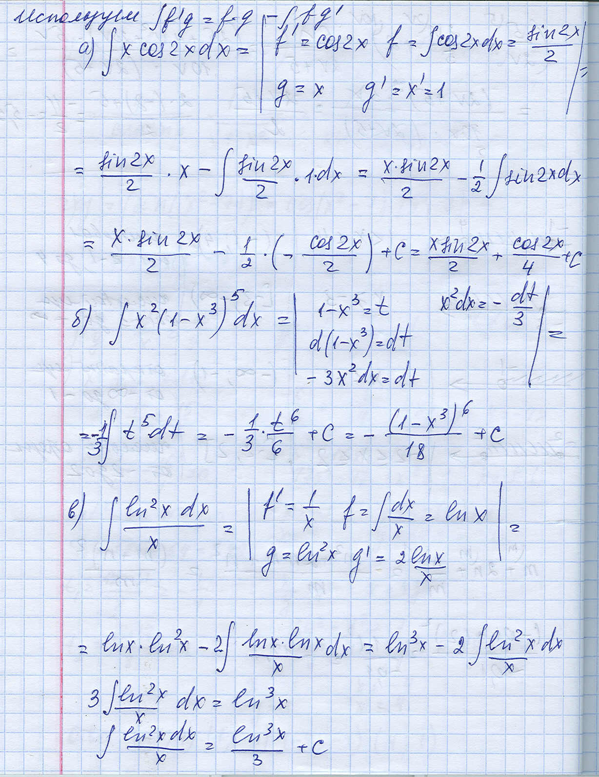
Вычислить неопределенные интегралы
Помогите сделать 3 пример

Приложения:

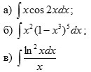
Ответы

Ответ дал: Vas61
0

решение находится ниже

Приложения:
Вас заинтересует