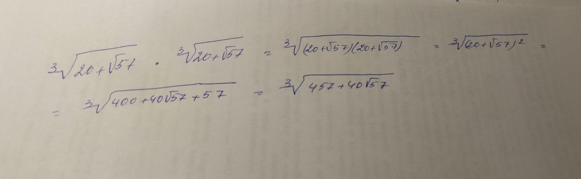
Корень в 3 степени под корнем 20 плюс корень из 57 умножить на корень в 3 степени под корнем 20 плюс корень из 57
Ответы
Ответ дал:
0
Решение во вложении
Приложения:

Вас заинтересует
2 года назад
2 года назад
3 года назад
3 года назад
9 лет назад