Ответы
Ответ дал:
0
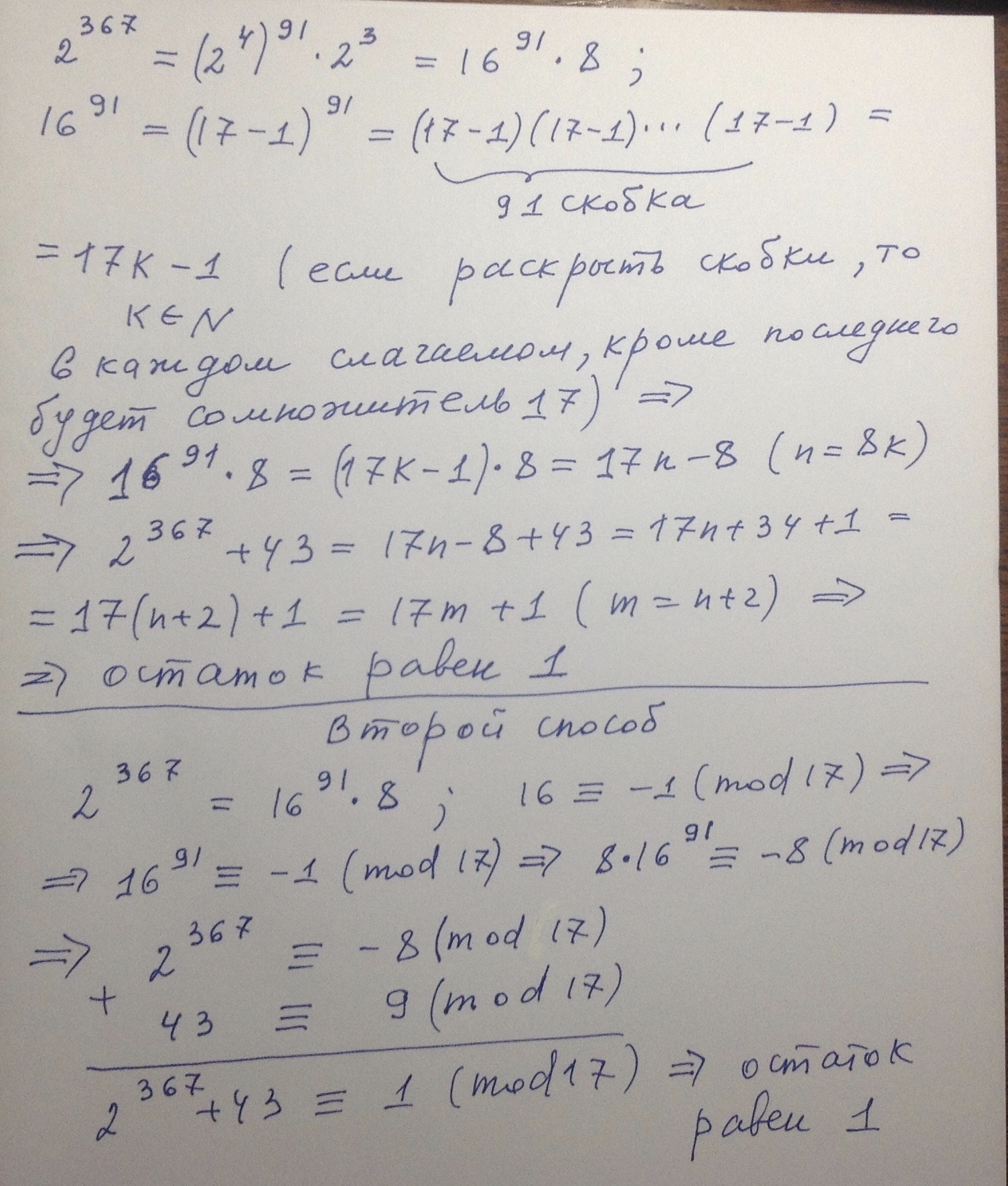
2 способа решения , во втором используется сравнения чисел по модулю 17
Приложения:

Вас заинтересует
2 года назад
3 года назад
9 лет назад
9 лет назад
9 лет назад