• Предмет: Математика
  • Автор: vosadchaya
  • Вопрос задан 8 лет назад

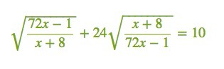
НУЖЕН ТОЛЬКО ОТВЕТ Уравнение решите пожалуйста прошу матан 10кл

Приложения:

Ответы

Ответ дал: valenivan
0

Решение задания приложено

Приложения:
Вас заинтересует