• Предмет: Математика
  • Автор: sizayalm
  • Вопрос задан 8 лет назад

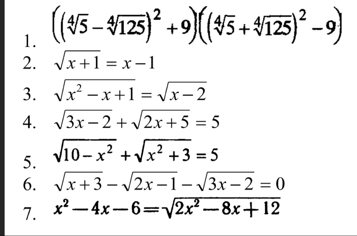
Помогите, пожалуйста, решить иррациональные уравнения

Приложения:

Ответы

Ответ дал: guf768
0
Возведи в квадрат каждое уравнение и получишь квадратное уравнение, а там дальше по дискриминанту
Вас заинтересует