• Предмет: Алгебра
  • Автор: evalepa
  • Вопрос задан 8 лет назад

помогите! срочноооооо
ЛЕГКО!

Приложения:

Ответы

Ответ дал: aytsan00
0

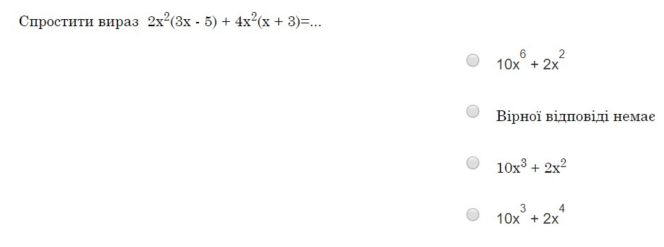
2x^2(3x - 5) +4x^2(x + 3)

6x^3 - 10x^2 + 4x^3 + 12x^2

10x^3 + 2x^2


Вас заинтересует