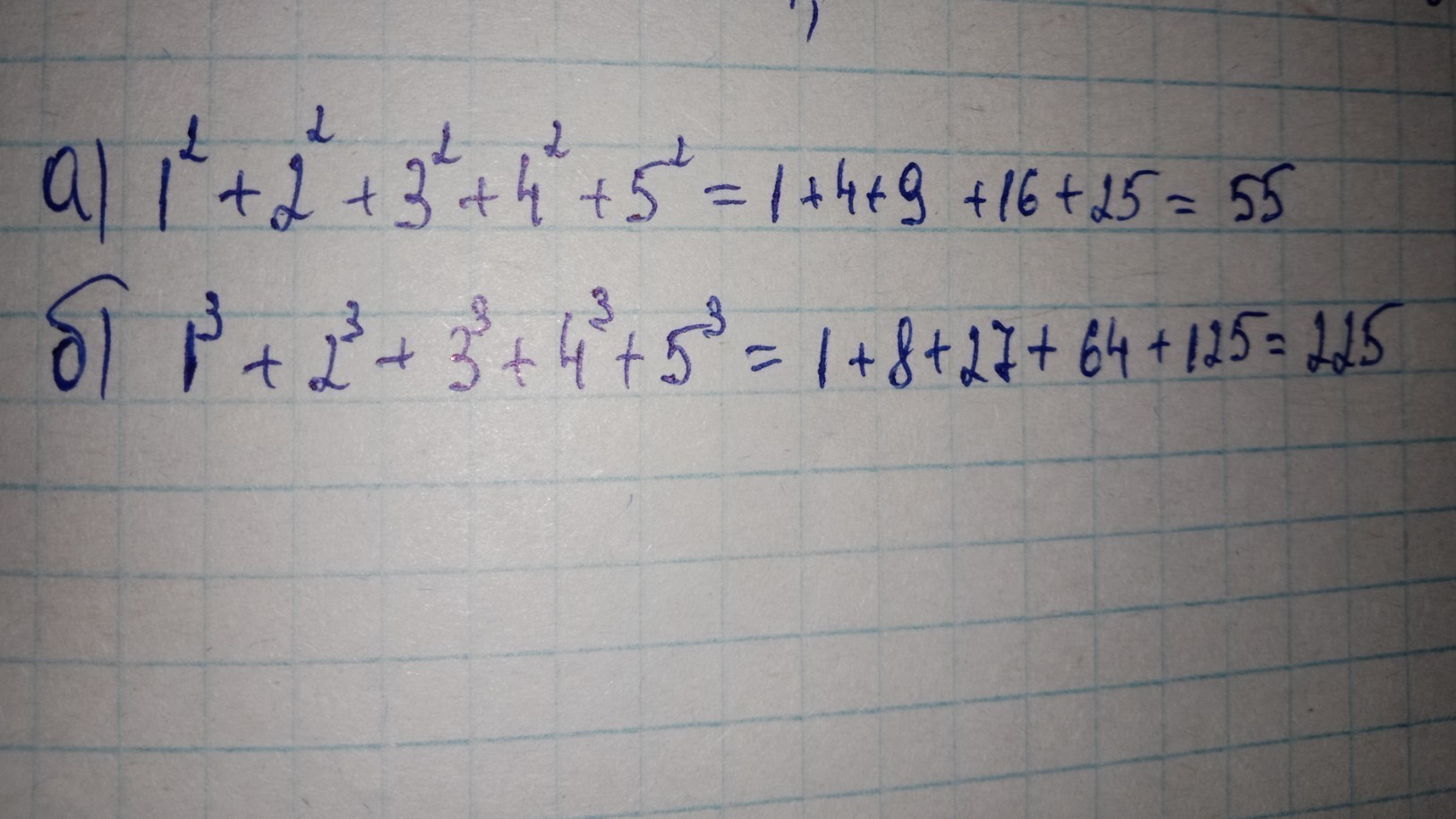
А)1 во 2 степени+2во 2 степени+3во 2 степени+4во 2 степени+5 во второй степени
Б),1во 3 степени +2во 3 степени+3во 3 степени+4во 3 степени +5 во 3степени.
ПОМОГИТЕ РЕШИТЬ
ПОЖАЛУЙСТА!!
Ответы
Ответ дал:
0
Ответ смотри во вложении.
Приложения:

Ответ дал:
0
Спасибо большое))
Ответ дал:
0
A)1+4+9+16+25 = 55
Б) 1+8+27+64+125 = 226
Приложения:

Ответ дал:
0
225*
Вас заинтересует
2 года назад
3 года назад
3 года назад
9 лет назад
9 лет назад