• Предмет: Алгебра
  • Автор: Nikolay2311
  • Вопрос задан 8 лет назад

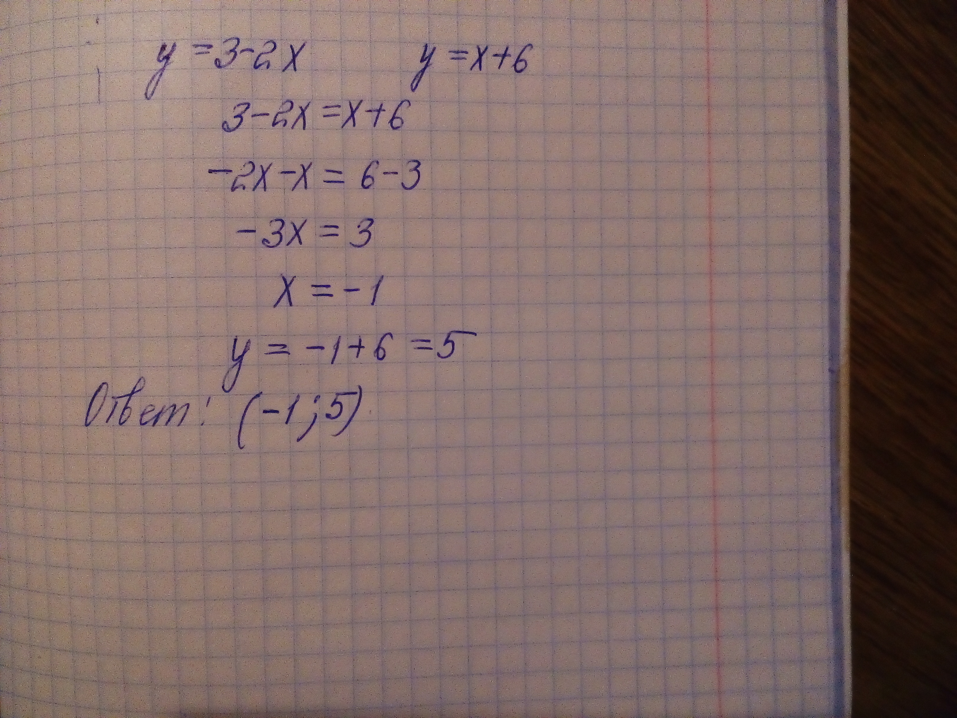
Найдите координаты точки пересечения графиков функций y = 3 - 2x и y = x + 6.

Координата заключена в круглые скобки. Значение координат внутри пары разделяются символом точка с запятой (;). В том случае если необходимо ввести дробное число, то для разделения целой и дробной части используйте символ запятой (,). Если число отрицательное, то пробел между знаком минус (-) и числом не ставить. Пример: (a;b).

Ответы

Ответ дал: m11m
0

!!!!!!!!!!!!!!!!!!!!!!!!!

Приложения:
Вас заинтересует