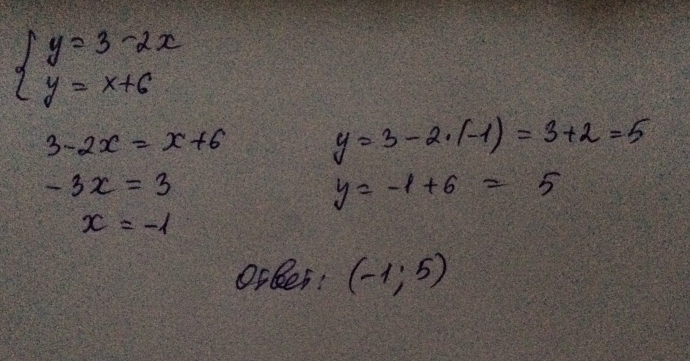
Найдите координаты точки пересечения графиков функций y = 3 - 2x и y = x + 6.
Координата заключена в круглые скобки. Значение координат внутри пары разделяются символом точка с запятой (;). В том случае если необходимо ввести дробное число, то для разделения целой и дробной части используйте символ запятой (,). Если число отрицательное, то пробел между знаком минус (-) и числом не ставить. Пример: (a;b).
ребять быстрее
Ответы
Ответ дал:
0
Вот Ответ : ( - 1 ; 5 )
Приложения:

Ответ дал:
0
найти координаты точки пересечения значит найти такую точку, которая удовлетворяет обеим уравнениям. Для этого решаем систему:
Приложения:

Вас заинтересует
2 года назад
2 года назад
9 лет назад
9 лет назад
9 лет назад